Ответы
Ответ дал:
0
-7x^2+8x^2-4x^2=3
-3x^2=3
x^2=-1
решений в действительных корнях нет
==============================
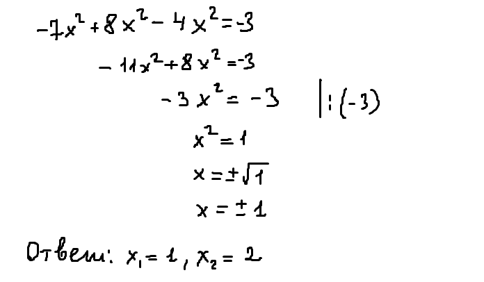
-7x^2+8x^2-4x^2=-3
x^2=1
x=1
x=-1
-3x^2=3
x^2=-1
решений в действительных корнях нет
==============================
-7x^2+8x^2-4x^2=-3
x^2=1
x=1
x=-1
Ответ дал:
0
Если понравилось решение - нажимай "спасибо" и "лучший" (рядом с кнопкой "спасибо") :)
Приложения:
Вас заинтересует
3 года назад
3 года назад
8 лет назад
11 лет назад
11 лет назад
11 лет назад