• Предмет: Алгебра
  • Автор: seredan2010
  • Вопрос задан 2 года назад

дуже треба!!!!!!!!!!!!!!!!!!!​

Приложения:

Ответы

Ответ дал: qq0o
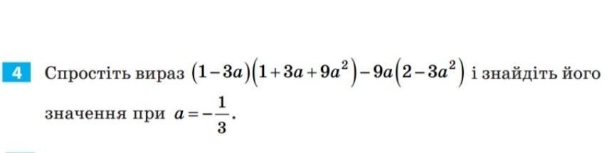
3

Ответ:

(1-3a)(1+3a+9a^2)=1-27a^3 (це формула)

1-27a^3-9a(2-3a^2)=\\1-27a^3-18a+27a^3=\\1-18a=\\1-(-\frac{1}{3} *18)=\\1-(-6)=\\1+6=7


seredan2010: дякую
Вас заинтересует