Ответы
                                            Ответ дал: 
                                                                                    
                                        
                                            
                                                
                                                
                                                
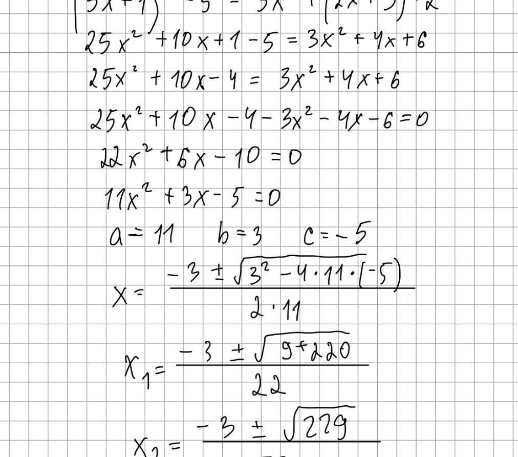
                                                    1
                                                
                                            
                                        
                                    
                                        Вроде так
…………
……()()()
                                                …………
……()()()
Приложения:
                    
                            
                    nuraliosipov:
                    отдуши бро ты мой спаситель
                
            
                    
                    Без проблем, если что в знаменателе будет 22 в последнем рядочке (там где х2)
                
            Вас заинтересует
                
                        1 год назад
                    
                
                        1 год назад
                    
                
                        1 год назад
                    
                
                        1 год назад
                    
                
                        3 года назад
                    
                
                        3 года назад
                    
                
                        8 лет назад