• Предмет: Алгебра
  • Автор: animeshnikyt
  • Вопрос задан 2 года назад

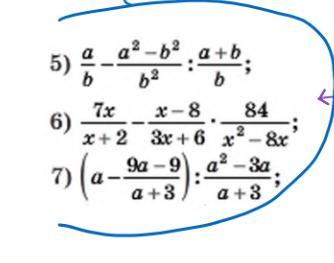
ПОМОГИТЕ ПОЖАЛКЙСТА!!!!

Приложения:

Ответы

Ответ дал: viktoriasaraeva238
0

Відповідь:

Пояснення:

Приложения:
Вас заинтересует