• Предмет: Алгебра
  • Автор: Аноним
  • Вопрос задан 2 года назад

ПОМОГИТЕ ПОЖАЛУЙСТА ​

Приложения:

Ответы

Ответ дал: Аноним
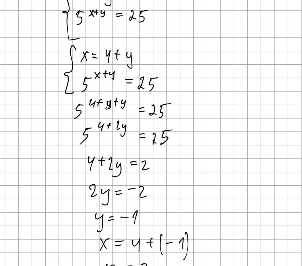
1
Пометь мой ответ как лучший, если не сложно. Спасибо заранее
Приложения:

Аноним: это что?
Аноним: ой, спасибо огромное)))
Ответ дал: e7720261
1

1.уже дали решение

шранщвнщагщнщаодаодагжаожаожаодаодагщагщ

Вас заинтересует