• Предмет: Алгебра
  • Автор: umarovamilana730
  • Вопрос задан 2 года назад

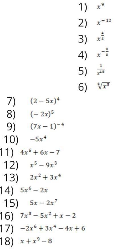
Прошуу помогитееее срочно!!!!! 50 баллов!! только честно пожалуйста.​

Приложения:

viktoriya602602: И что с этим делать?
umarovamilana730: надо найти производную
umarovamilana730: прошу помогите
umarovamilana730: я совсем не поняла тему
umarovamilana730: а у нас самостоятельная

Ответы

Ответ дал: viktoriya602602
1

Відповідь:

Пояснення: не все в решении

Приложения:

umarovamilana730: извините но вы там ничего не решили
Вас заинтересует