Ответы
Ответ дал:
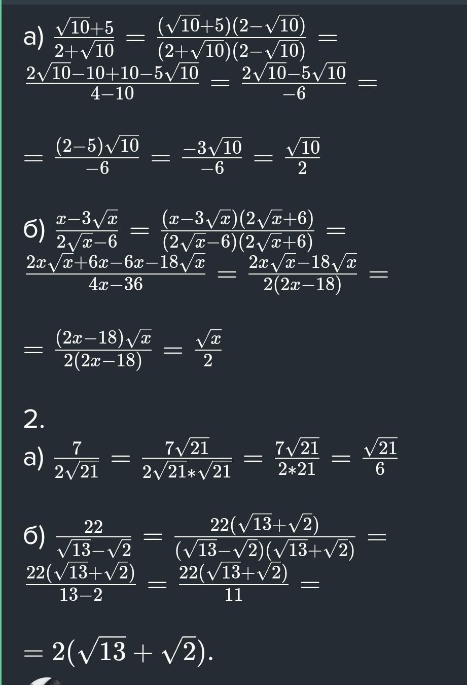
1
Объяснение:
Вот ответ, надеюсь правильно))
Приложения:

elemanovaamalia09:
спасибо огромное)
Вас заинтересует
1 год назад
1 год назад
1 год назад
3 года назад
3 года назад