• Предмет: Алгебра
  • Автор: staroverov14
  • Вопрос задан 10 лет назад

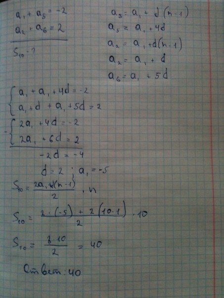
Сумма  первого  и  пятого  членов  арифметической  прогрессии  равна  ‐  2,    а  сумма   второго  и  шестого  ее  членов  равна   2.    Найдите  сумму  первых  десяти  членов   прогрессии

Ответы

Ответ дал: 306da
0
-----------------------------------------------------------------------------------------
Приложения:
Ответ дал: staroverov14
0
Огромное спасибо!!!!!
Ответ дал: 306da
0
не за что
Вас заинтересует