• Предмет: Физика
  • Автор: bakashovaayana
  • Вопрос задан 2 года назад

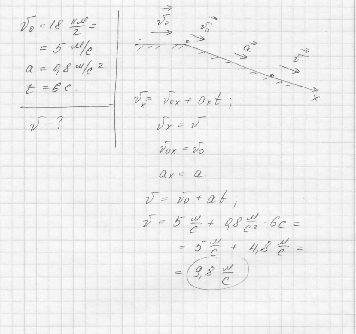
Найдите скорость мальчика на велосипеде через 6с, если его ускорение 0,8 м/с² когда он начинает спускаться с горки, двигаясь со скоростью 18 км/ч. Срочно ребят 7 класс.​

Ответы

Ответ дал: goncharov1maksim
0

это вроде бы правильно.

Приложения:
Вас заинтересует