• Предмет: Математика
  • Автор: Аноним
  • Вопрос задан 2 года назад

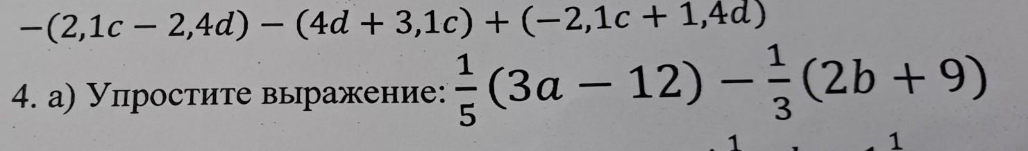
1/5(3а-12)-1/3(2b+9) помогите пжпжпжппжпжпжпжпжппжпжпжпжпжпжжпжпжжпжпжпжп соч​

Приложения:

Ответы

Ответ дал: au1vaa09
0

Ответ:

Пошаговое объяснение:

Приложения:
Вас заинтересует