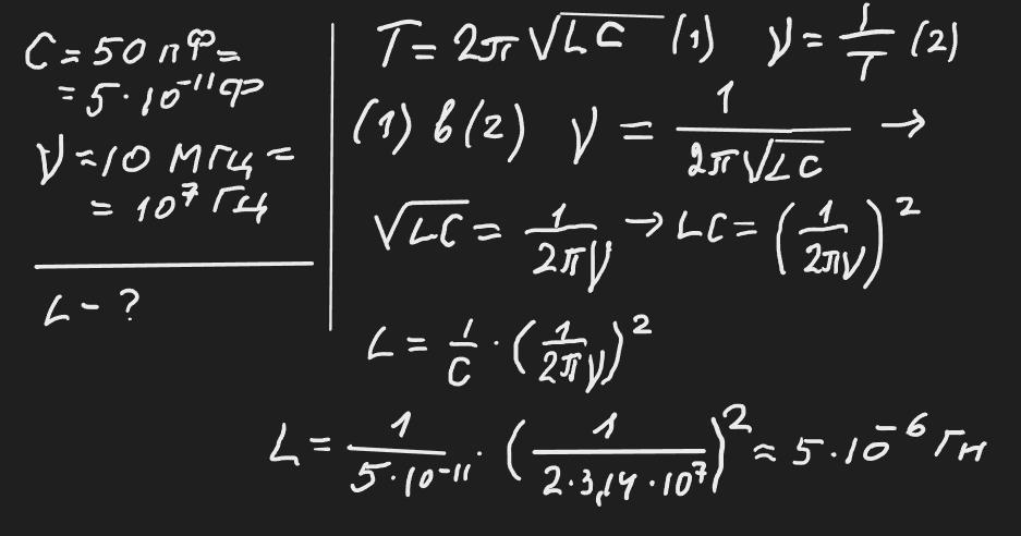
Катушку якої індуктивності потрібно під’єднати до коливального контуру, щоб при
ємності конденсатора 50пФ отримати частоту вільних коливань 10МГц?
Ответы
Ответ дал:
1
Відповідь: ≈ 5 мкГн
Пояснення:
Приложения:
Вас заинтересует
2 года назад
2 года назад
2 года назад
3 года назад
3 года назад
9 лет назад
9 лет назад