• Предмет: Математика
  • Автор: lexa67ru
  • Вопрос задан 10 лет назад

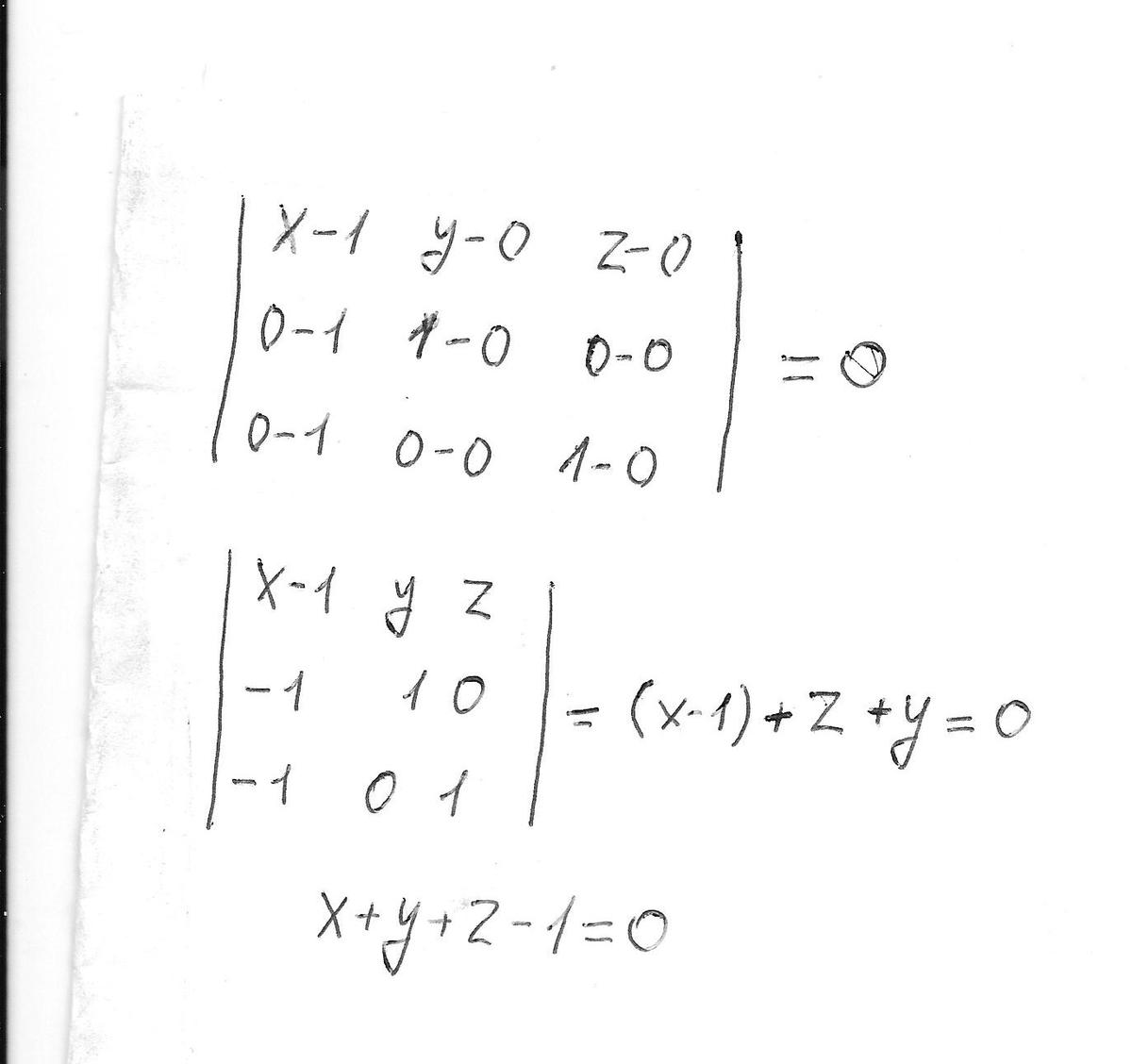
напишите уравнение плоскости проходящей через точки А(1 0 0) В(0 1 0) С (0 0 1)

Ответы

Ответ дал: Опыт
0
x+y+z-1=0
решение в файле.
Приложения:
Вас заинтересует