• Предмет: Алгебра
  • Автор: Аноним
  • Вопрос задан 2 года назад

пж поможіть 7 клас алгебра ​

Приложения:

Ответы

Ответ дал: Аноним
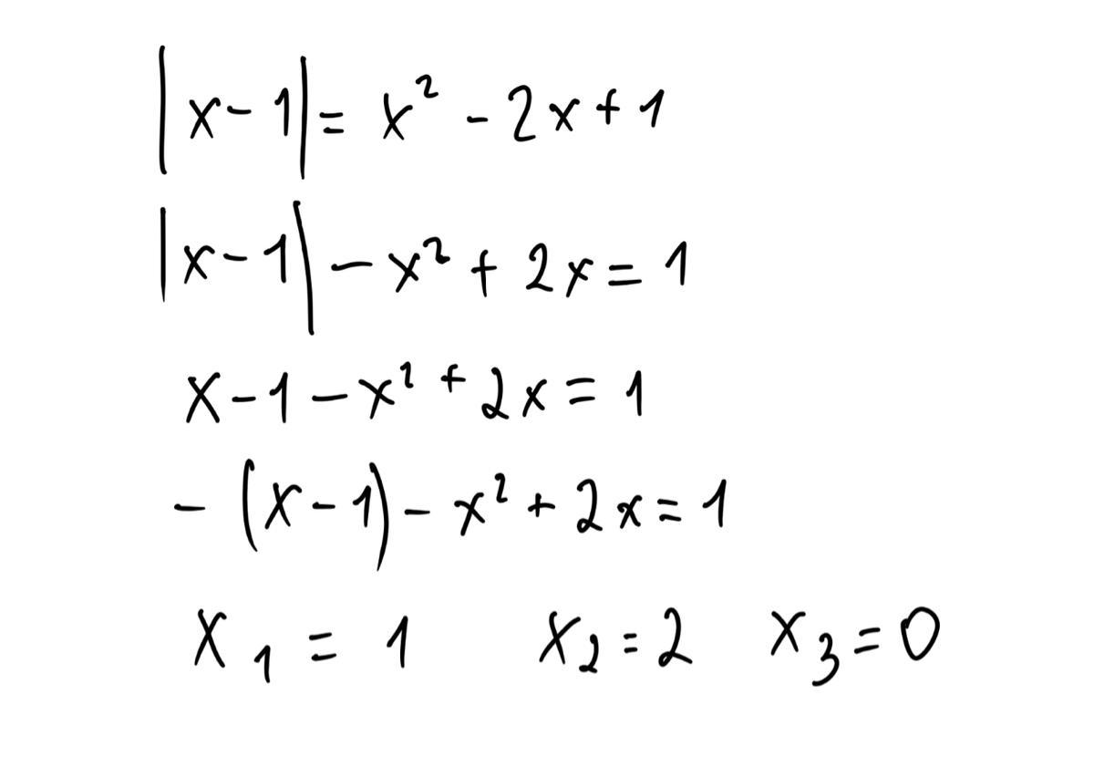
1
Поміть мою відповідь як кращу. Дякую
Приложения:
Вас заинтересует