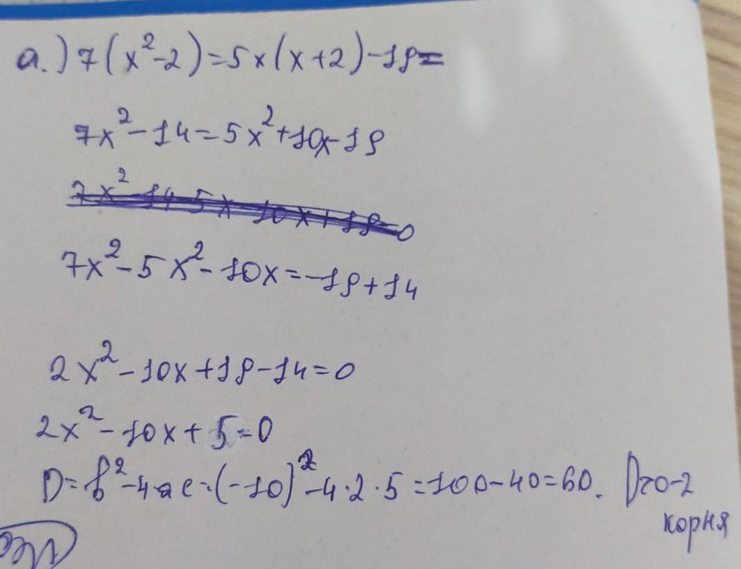
№3. Теңдеуді квадрат теңдеуге келтіріп, коэффициенттерін анықтаңыз. a) 7(x² - 2) = 5x(x + 2) - 19 -
Ответы
Ответ дал:
0
Объяснение:
Дальше, по формуле находи х1 и х2 т.е нужно найти корни
Приложения:

zhetkenshekbekarys:
Спасибо
Вас заинтересует
1 год назад
1 год назад
1 год назад
3 года назад
3 года назад