• Предмет: Алгебра
  • Автор: kolesniktana22
  • Вопрос задан 2 года назад

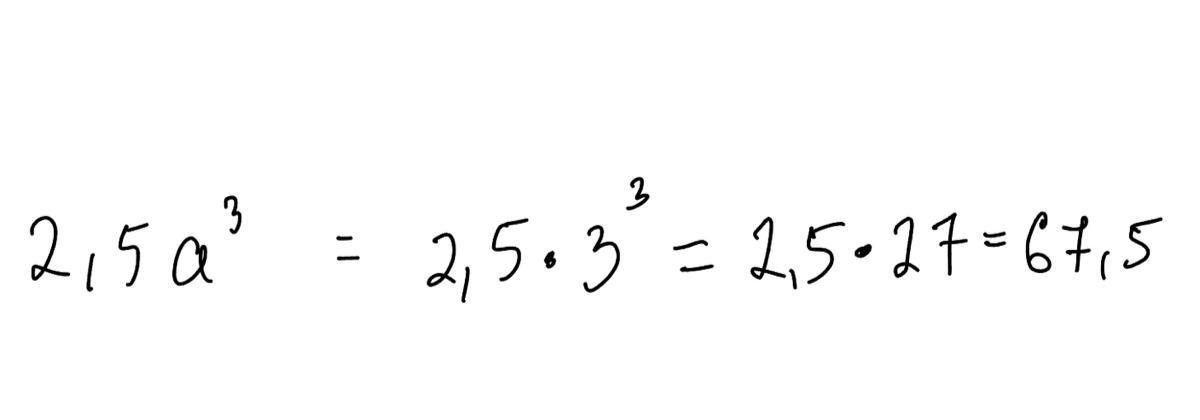
1. Обчислити значення виразу 2,5а³, якщо а=3 СРОЧНО!!!

Ответы

Ответ дал: islamplay2008
0
2,5*a^3= 2.5*27

Все все все
Ответ дал: Аноним
0
Тримай відповідь
………….()()()()
Приложения:
Вас заинтересует