• Предмет: Алгебра
  • Автор: XDXDXDXDXDXDXO
  • Вопрос задан 2 года назад

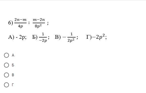
Помогите пожайлуста, очень надо

Приложения:

Ответы

Ответ дал: Аноним
2
4. А
5. Б
………..
()()()()(()
Вас заинтересует