Ответы
Ответ дал:
2
Ответ:
Объяснение:
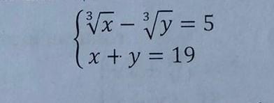
на фото
Приложения:

donquixote15:
спасибо большое
Вас заинтересует
1 год назад
1 год назад
1 год назад
1 год назад
3 года назад
8 лет назад