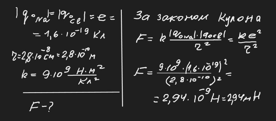
Визначте силу взаємодії двох сусідніх йонів у кристалі NaCl, Якщо середня відстань між йонами 2,8 - 10^-8см
З рішенням пжпжпжпжпжжп
Ответы
Ответ дал:
0
Відповідь: 2,94 нН
Пояснення:
Приложения:

Вас заинтересует
1 год назад
1 год назад
3 года назад
3 года назад
8 лет назад