• Предмет: Алгебра
  • Автор: molvinskihdaria
  • Вопрос задан 2 года назад

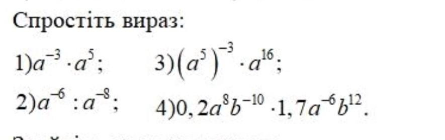
Спростіть вираз: 1)a . a' : 2)a:a³; 3)(a)`` . a6; 4)0,2a³b-¹⁰ -1,7a6b¹2.​

Приложения:

Ответы

Ответ дал: Uhckji
1

Ответ:

1. а²

2. а²

3. а

4. 0.34 а² b²

Вас заинтересует