Очень надо помогите плизз
Приложения:

Аноним:
привіт, напиши мені в інст, кину відповідь, alisagorock
Ответы
Ответ дал:
1
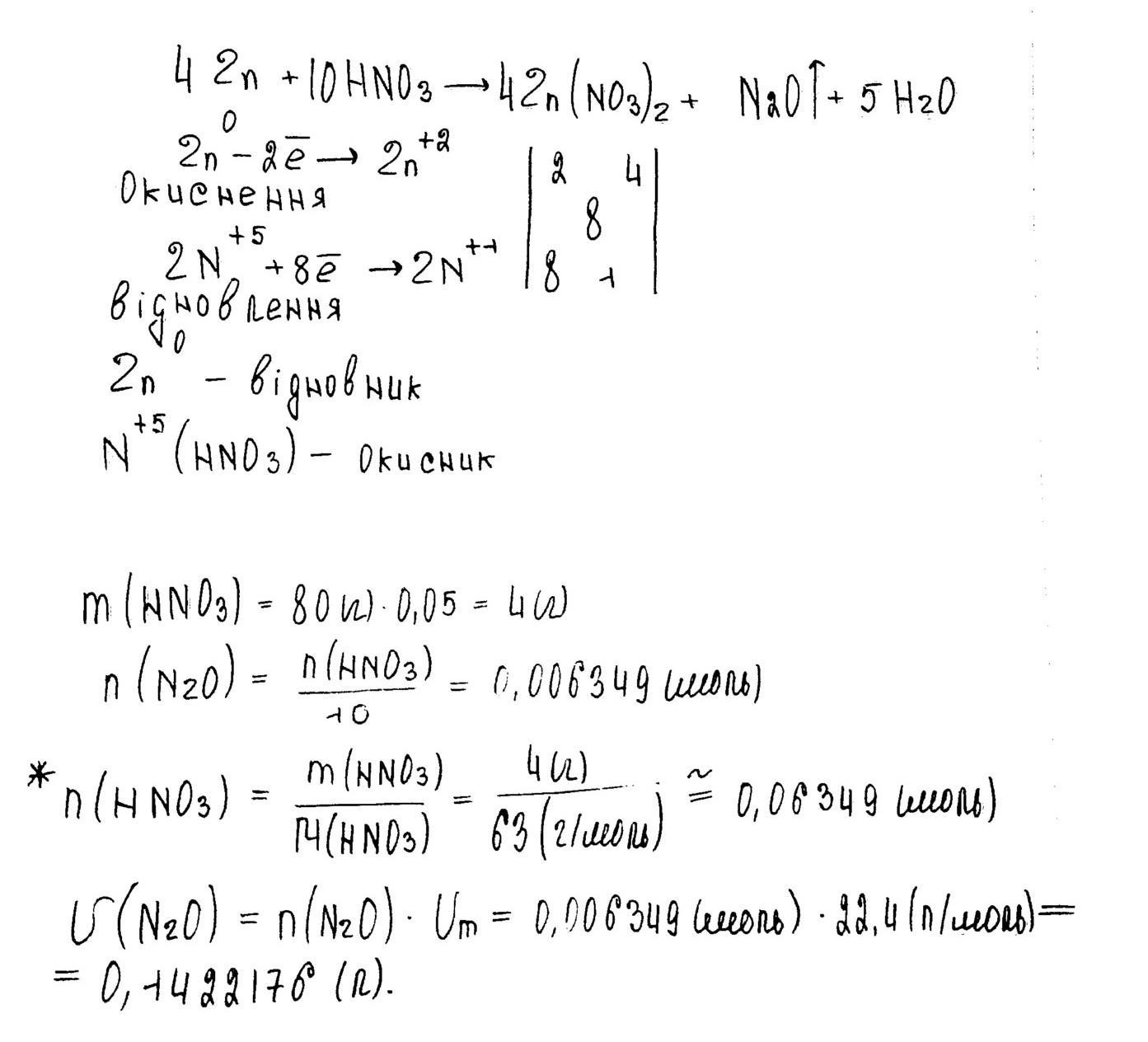
Решение и ответ на картинке.
Приложения:

Вас заинтересует
1 год назад
1 год назад
1 год назад
1 год назад
3 года назад
3 года назад
8 лет назад