• Предмет: Алгебра
  • Автор: dolganinanatala952
  • Вопрос задан 2 года назад

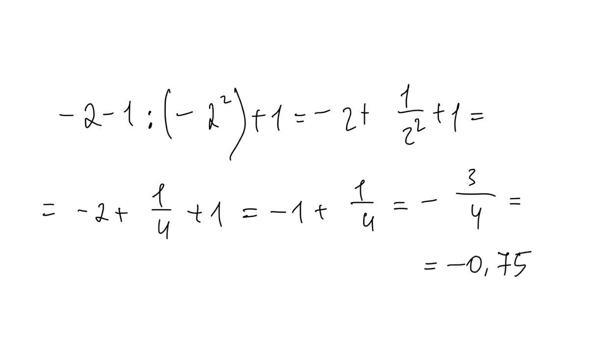
1) Знайти значення виразу - 2-1:-2^2+1

Ответы

Ответ дал: Аноним
1
Вот ответ
Можно лучшее решение пжлст
………
Приложения:
Вас заинтересует