• Предмет: Алгебра
  • Автор: dolganinanatala952
  • Вопрос задан 2 года назад

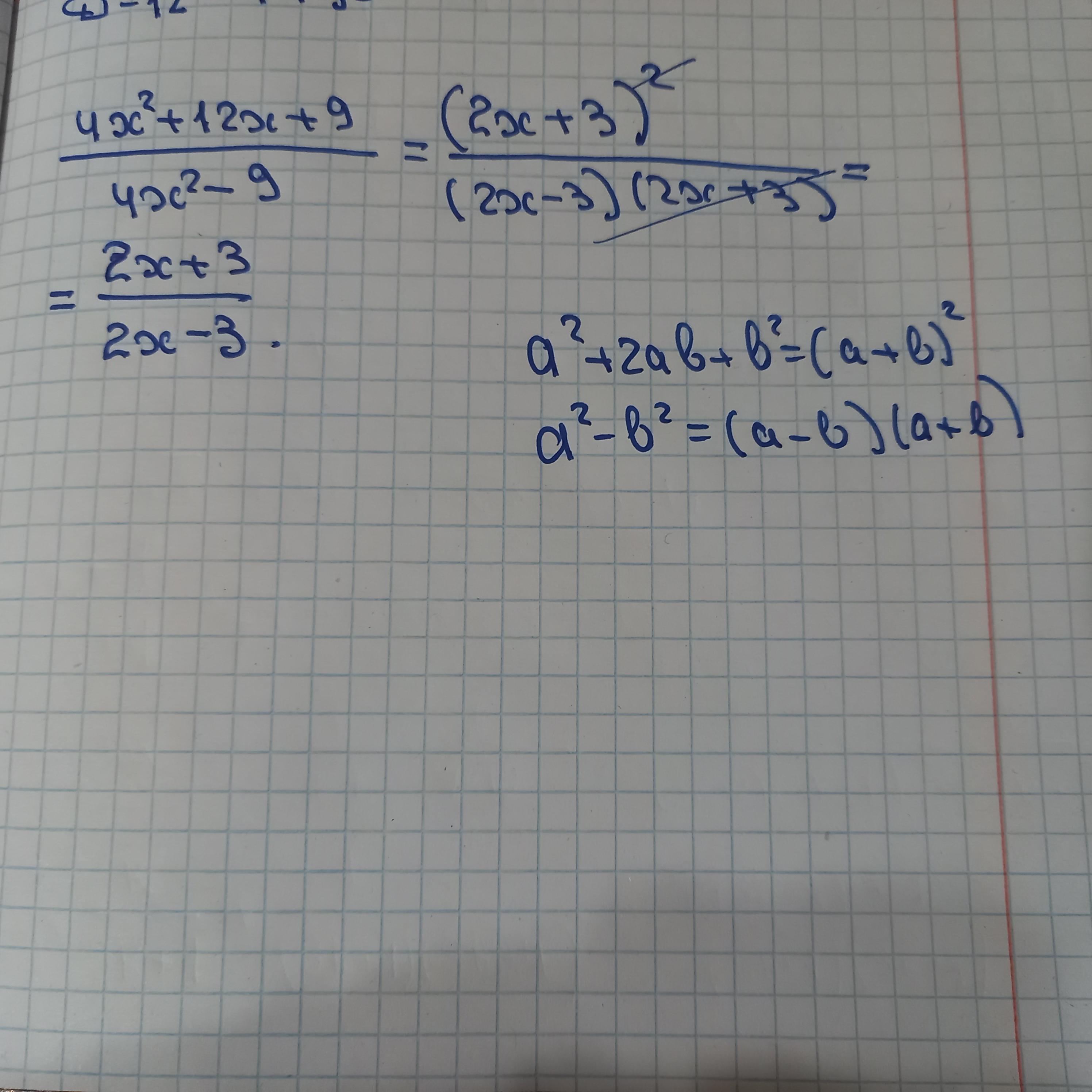
скоротити дрiб 4х^2+12х+9/4х^2-9 очень нужно пожалуйста

Ответы

Ответ дал: gusevas0204
1

(2x+3)^2/(2x+3)(2x-3)=2x+3/2x-3

Ответ дал: aarr04594
2

Відповідь: розв'язання завдання додаю



Приложения:
Вас заинтересует