• Предмет: Алгебра
  • Автор: ProstoGo
  • Вопрос задан 2 года назад

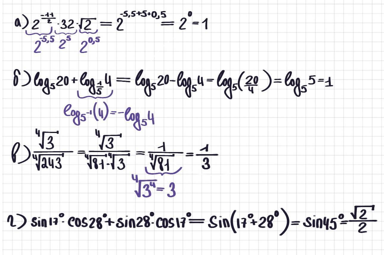
помогите пожалуйста!!!!!!!!!!!!!!!!!!!!!!!!!!!!

Приложения:

Ответы

Ответ дал: privetboba015
0

Ответ:

-11/2

а) 32 × 2 × v/ 2 б) 1 в) 1/3 г) v/2

2


ProstoGo: а можно по развернутей если не сложно
Ответ дал: Lizzie2018
0

Решение и ответ на фото.

Приложения:

ProstoGo: спасибо огромное
Вас заинтересует