• Предмет: Математика
  • Автор: ggvgamer7
  • Вопрос задан 2 года назад

!!!!!!!!!!!!!!!!!!!!!!!!!!!!!​

Приложения:

Ответы

Ответ дал: Аноним
2

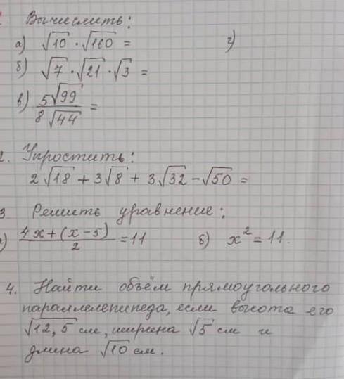
1.

а) \sqrt{10}*\sqrt{160} = \sqrt{1600} = 40\\

б) \sqrt{7}*\sqrt{21}*\sqrt{3} = \sqrt{441} = 21

в) \frac{5\sqrt{99}}{8\sqrt{44}} = \frac{5\sqrt{9*11}}{8\sqrt{4*11}} = \frac{15\sqrt{11}}{16\sqrt{11}} = \frac{15}{16}

2.

2\sqrt{18}+3\sqrt{8}+3\sqrt{32}-\sqrt{50} = 2\sqrt{9*2} + 3\sqrt{4*2} + 3\sqrt{16*2} - \sqrt{25*2} = 6\sqrt{2}+6\sqrt{2}+12\sqrt{2} - 5\sqrt{2} = 19\sqrt{2}

3.

a)

\frac{4x+x-5}{2}=11\\\frac{5x-5}{2}-11=0\\5x-5-22=0\\5x=27\\x=5.4

б)

x^2=11\\x1 = \sqrt{11}\\x2 = -\sqrt{11}

4.

V = \sqrt{12.5}*\sqrt{5}*\sqrt{10} = \sqrt{625} = 25 cm^3


Аноним: отлично Игорян
Аноним: Что не так с моим ответом?
Вас заинтересует