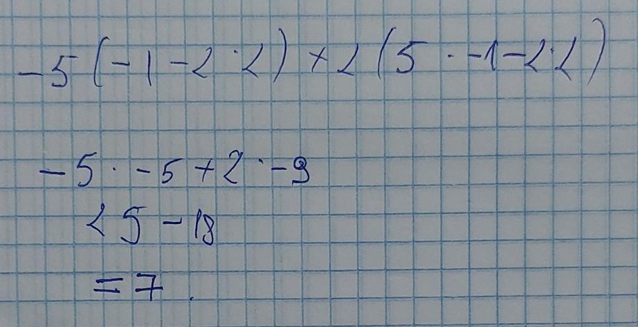
4. Упростите выражение -5(к - 2y) + 2(5k - 2y) при к = - 1, у=2 и найдите его значение. очень нужно даю 10 балов√
asiklichnoe:
ты только 5 баллов поставил
Ответы
Ответ дал:
0
все просто, отметь как лучший ответ
Приложения:

Ответ дал:
0
Ответ:
ответ дан уверен
Пошаговое объяснение:
Просто отнимай плюсуй
Приложения:

Вас заинтересует
1 год назад
1 год назад
1 год назад
3 года назад
8 лет назад