• Предмет: Алгебра
  • Автор: DimitriyLukanov
  • Вопрос задан 2 года назад

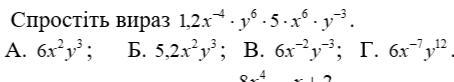
. Спростіть вираз 1,2x^-4*y^6*x^6*y^3

Приложения:

Ответы

Ответ дал: maksimzaremba5461
0

Ответ:

а):':";*;*;;";";";";";";";;*;*;""

Вас заинтересует