• Предмет: Алгебра
  • Автор: DimitriyLukanov
  • Вопрос задан 2 года назад

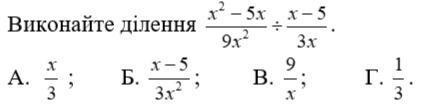
виконайте ділення (на фото)

Приложения:

Ответы

Ответ дал: maksimzaremba5461
0

Ответ:

г):::"::":":':":":_:_;_;

Объяснение:

но не факт

Вас заинтересует