• Предмет: Физика
  • Автор: cdp39699
  • Вопрос задан 2 года назад

ребятушки золотушки помогите выручите

Приложения:

Ответы

Ответ дал: luco5
0
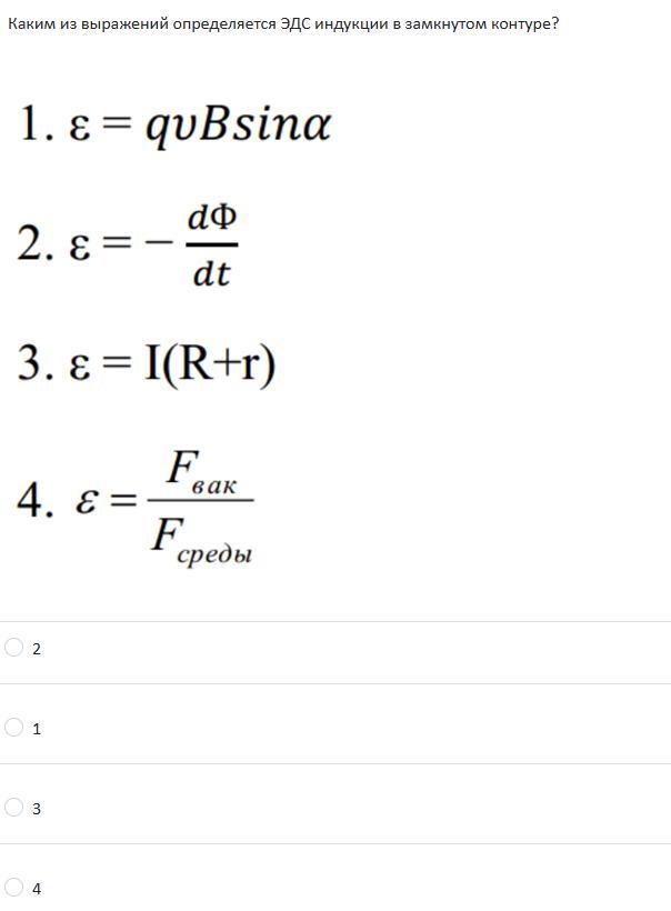
2, e=dФ/dt поставь лучший пж
Вас заинтересует