• Предмет: Физика
  • Автор: nikmedvedskiy2006
  • Вопрос задан 2 года назад

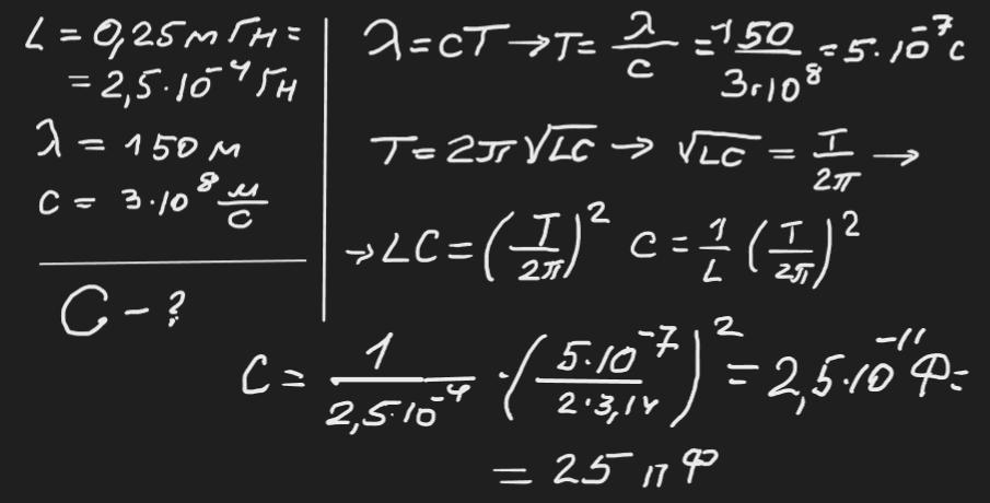
Коливальний контур радіоприймача містить котушку з індуктивністю 0,25 мГн і приймає радіохвилі довжиною 150 м. Визначте ємність конденсатора коливального контура

Ответы

Ответ дал: zybkov1950
2

Відповідь: 25 пФ

Пояснення:

Приложения:
Ответ дал: dyexfnf
0

Ответ:

Объяснение:

Дано:

L = 0,25 мГн = 0,25 * 10⁻³Гн

λ = 150 м

Найти: С-?

Згідно формулі Томсона період коливань дорівнює:

T=2π√LC    (1)

λ = Т * с  => T = λ/с  де   (2)  с = 3 * 10⁸ м/с² швидкість світла (швидкість розповсюдження електромагнітної хвилі)

З (1) і (2) формул маємо :

2π√LC = λ/c  =>  С = λ²/(c² * 4π² * L)

С = 150²/(3 * 10⁸ * 4 * 3,14² * 0,25* 10⁻³) ≈ 25пФ

Вас заинтересует