Ответы
Ответ дал:
1
Вот ответ
……….()()()()()
……….()()()()()
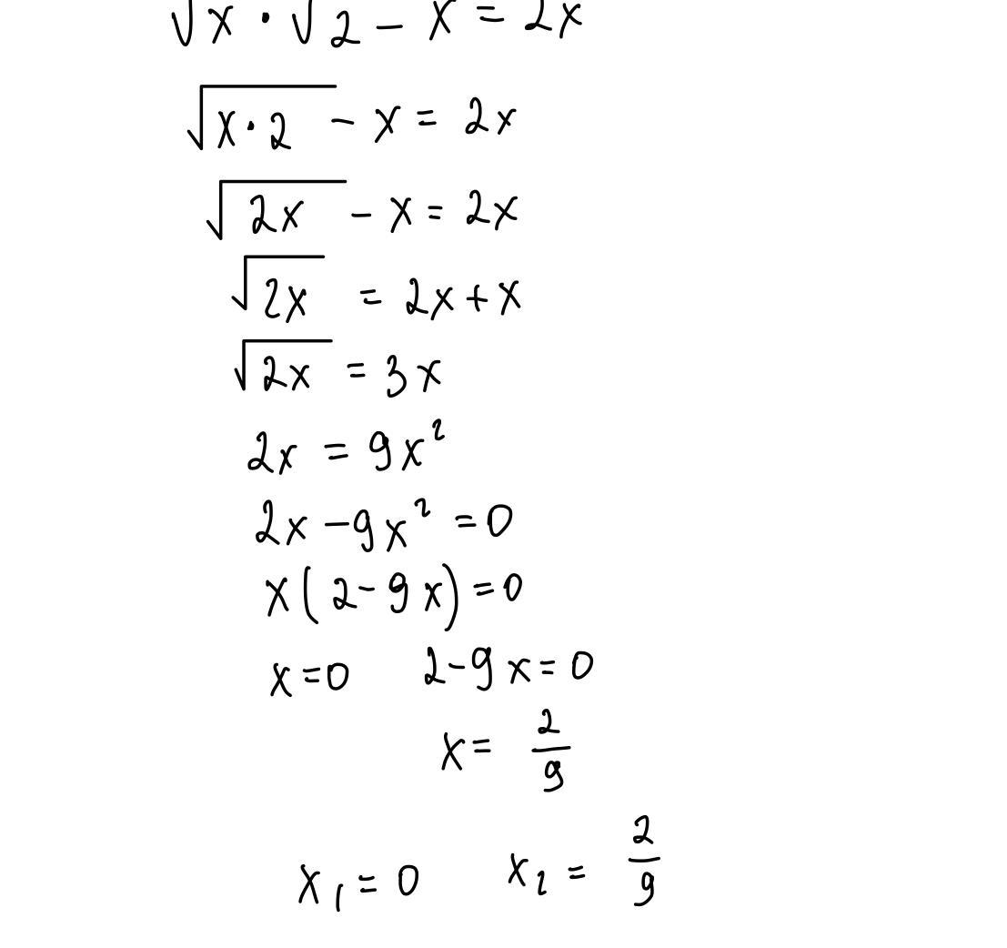
Приложения:

Вас заинтересует
1 год назад
1 год назад
1 год назад
1 год назад
3 года назад
3 года назад
8 лет назад