• Предмет: Алгебра
  • Автор: olgasmol31
  • Вопрос задан 2 года назад

Помогите пожалуйста
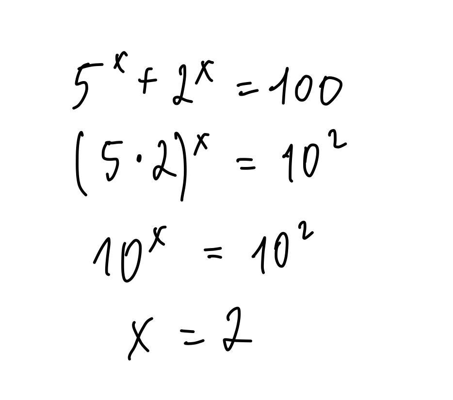
5*•2*=100

Ответы

Ответ дал: Аноним
1
Вот ответ
…………
()()()()()
Приложения:
Ответ дал: vovksasa507
0

Ответ:

5²•2² = 100

Объяснение:

5² = 25

2² = 4

25•4= 100.

Вас заинтересует