Будь ласка допоможіть, САМОСТІЙНА РОБОТА № 10
Розкладання многочленів
на множники винесенням
спільного множника за дужки та групуванням
Приложения:
Warlock1:
в 1-д что стоит в степени в у первого -х ?
Да
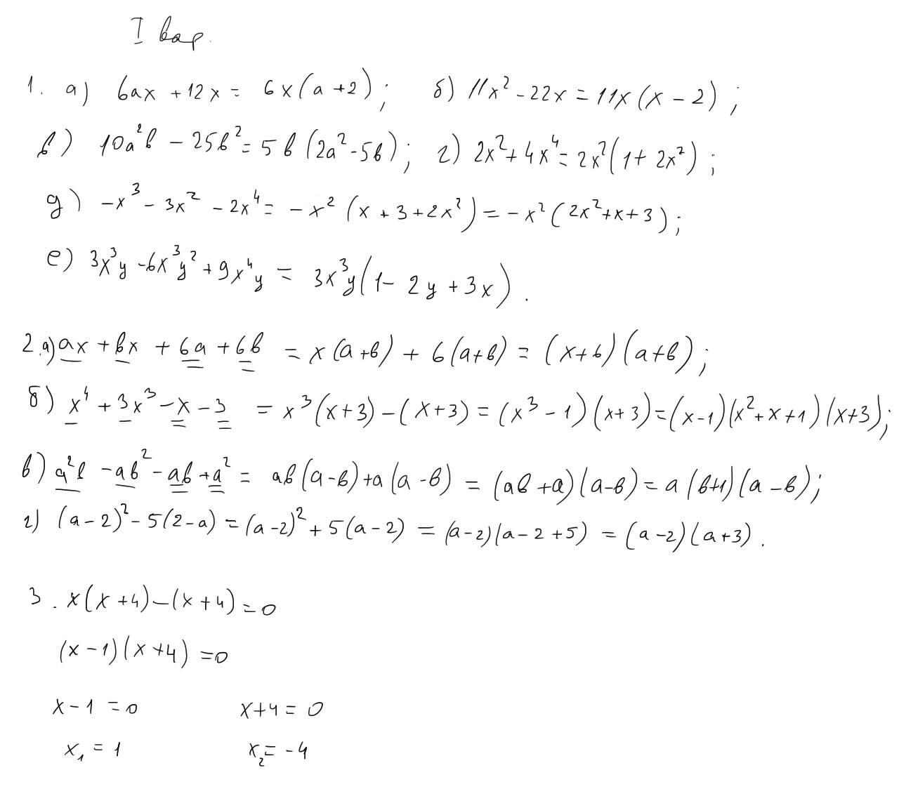
a) 6ax + 12x:
Б) 11x² - 22x;
B) 10a²b-25b²;
Г) 2x² + 4x¹;
Д) -x³-3x² - 2x¹;
e) 3x³y - 6x³y² + 9x¹y.
Б) 11x² - 22x;
B) 10a²b-25b²;
Г) 2x² + 4x¹;
Д) -x³-3x² - 2x¹;
e) 3x³y - 6x³y² + 9x¹y.
Це перше завдання повністю
Чел я тебе прошу будь ласка допоможи мені
Мене просто вбють
всё будет
2. Розкласти многочлени на множники способом групування
a) ax + bx + 6a + 6b;
б) x² + 3x³ - x-3;
B) a²b - ab² - ab +a²;
г) (a - 2)2 - 5(2-a).
a) ax + bx + 6a + 6b;
б) x² + 3x³ - x-3;
B) a²b - ab² - ab +a²;
г) (a - 2)2 - 5(2-a).
Це друге завдання
Третє не треба
Ответы
Ответ дал:
1
Ответ:
типа того
Объяснение:
Приложения:
если вдруг вы разность кубов ещё не проходили, то в 2 б) не надо самое последнее писать (там где (х-)(х2+х+1)(х+3))
Спасибо❤️
@Warlock1 спасибо тебе огромное
Вас заинтересует
1 год назад
1 год назад
2 года назад
3 года назад
3 года назад
9 лет назад
9 лет назад