• Предмет: Математика
  • Автор: Alluska1985
  • Вопрос задан 2 года назад

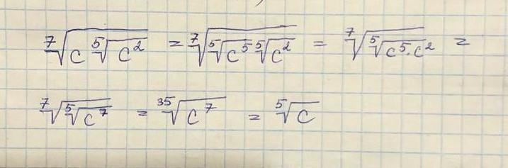
Спростити вираз

Допоможіть, будь ласка

Приложения:

Ответы

Ответ дал: iramazurk
0

Пошаговое объяснение:

Смотри в прикреплённом файле

Приложения:
Ответ дал: shorom
0

Ответ:

смотри на фото

Пошаговое объяснение:

..........

Приложения:

iramazurk: Можно хоть день не залазить на мой аккаунт и не брать оттуда вопросы???
iramazurk: Посиди, потрать время и поищи себе вопросы
Вас заинтересует