Ответы
Ответ дал:
1
Вот ответ
……()()()()()()
……()()()()()()
Приложения:

Ответ дал:
1
Ответ:
.
Пошаговое объяснение:
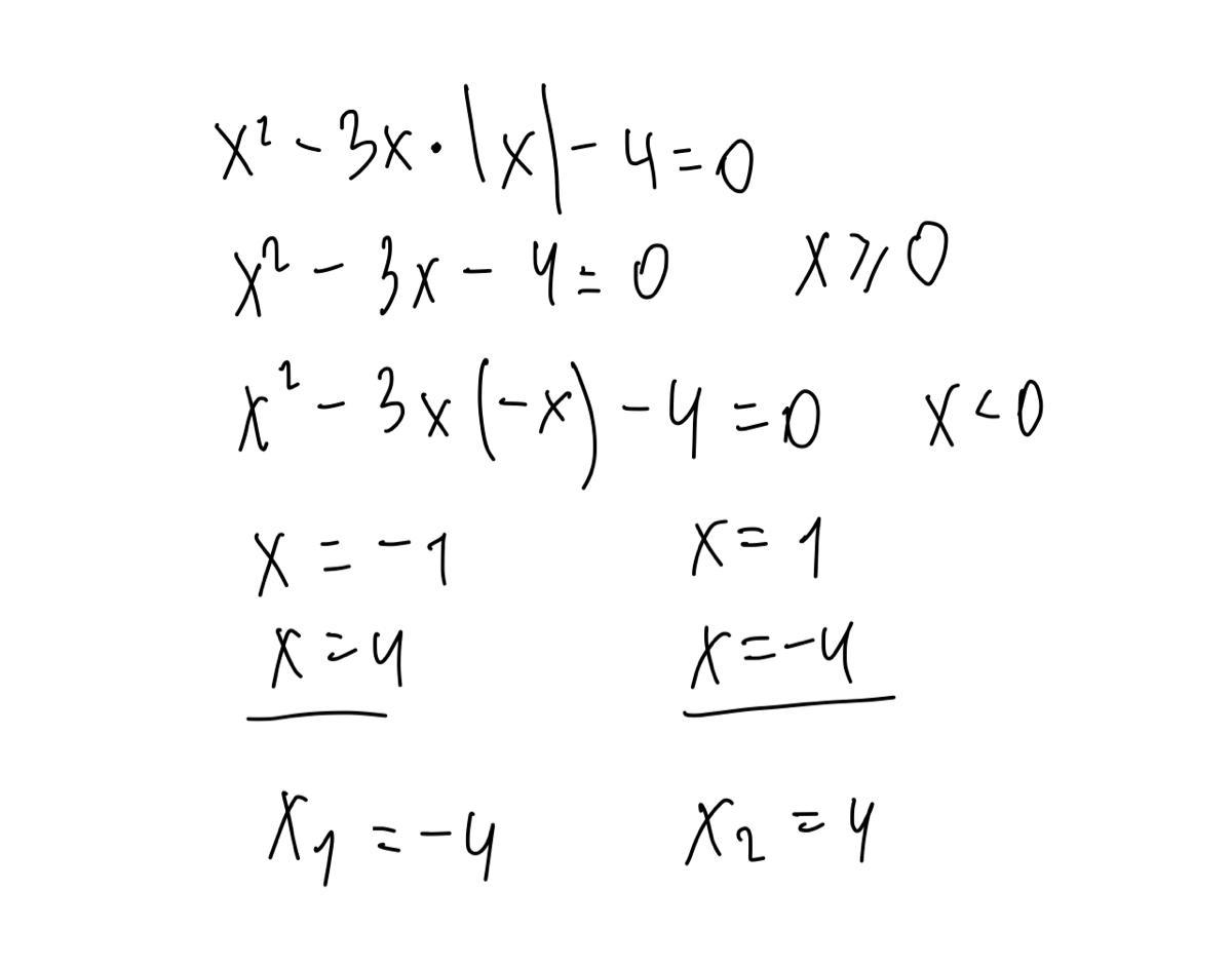
x² - 3 • |x| - 4 = 0;
х²-3х-4=0, х_>(большее равно) 0
х²-3×(-х)-4=0, х<0
х=-1
х_>(большее равно)0
х= 4
х=-4
х<0
х=1
х=4
х=-4
х1 = -4, х2=4
Вас заинтересует
1 год назад
1 год назад
3 года назад
3 года назад
8 лет назад