• Предмет: Математика
  • Автор: Аноним
  • Вопрос задан 2 года назад

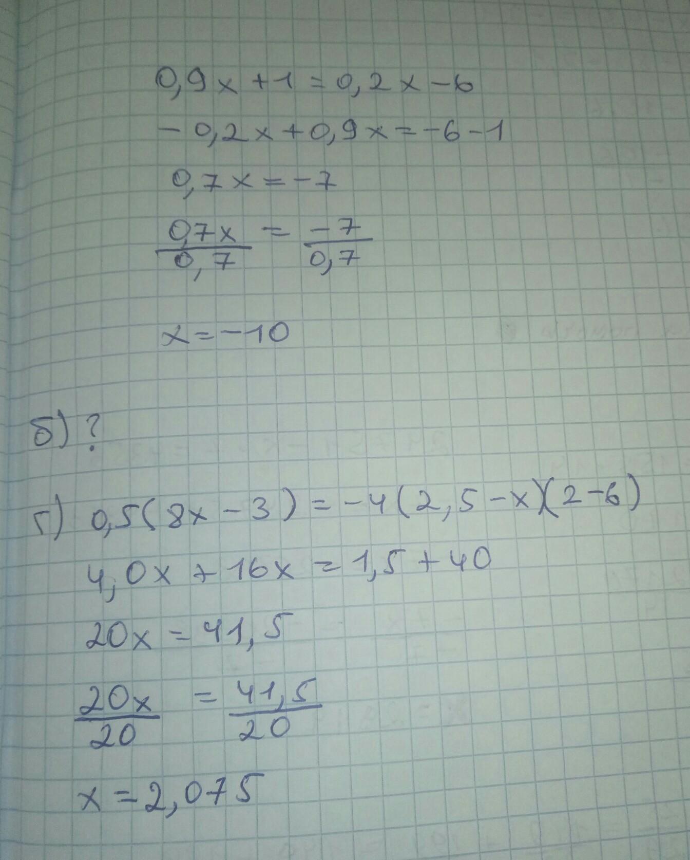
1. Реши уравнения: а) 0,9х+1=0,2x-6; б) 2 B) 4=-1-(11x - 5); г) 0,5(8x - 3) = -4(2,5 - x) (2-6) Даю 100 баллов!​

Ответы

Ответ дал: lolich112
0

Решение на фотографии.

Приложения:

Аноним: Б) 1/2 (x-6)-3=1/3x
lolich112: окей щас
lolich112: сделал бро
Ответ дал: iramazurk
0

Пошаговое объяснение:

а)

0,9х + 1 = 0,2х - 6

0,9х - 0,2х = -6 - 1

0,7х = -7

х = -7 : 0,7

х = -10

б)

1/2(х - 6) - 3 = 1/3х

1/2х - 6/2 - 3 = 1/3х

1/2х - 3 - 3 = 1/3х

1/2х - 6 = 1/3х

1/2х - 1/3х = 6

3/6х - 2/6х = 6

1/6х = 6

х = 6 : 1/6

х = 6 * 6/1

х = 36/1

х = 36

в)

4 = -1 - (11х - 5)

4 = -1 - 11х + 5

4 = 4 - 11х

11х = 4 - 4

11х = 0

х = 0 : 11

х = 0

г)

0,5(8х - 3) = -4(2,5 - х)

4х - 1,5 = -10 + 4х

-1,5 = -10

х Є

Утверждение ложно для любого значения х

Вас заинтересует