• Предмет: Алгебра
  • Автор: dasimov2
  • Вопрос задан 2 года назад

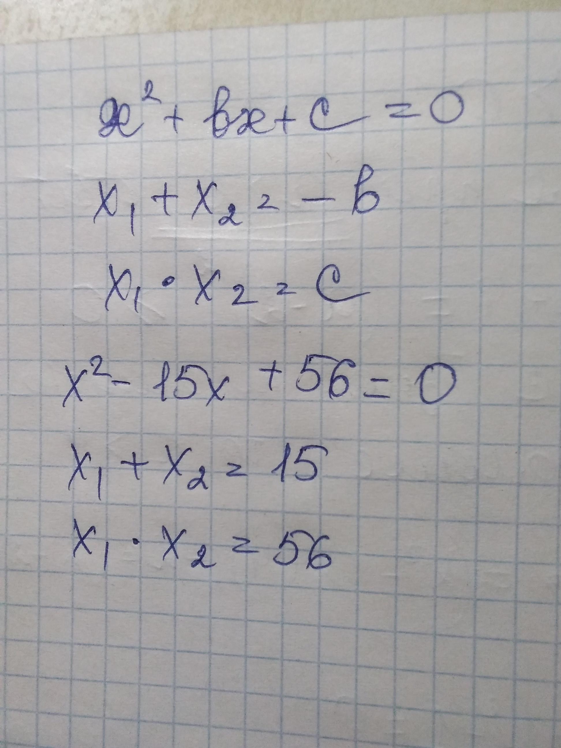
ур 4. [2 балла] Не вычисляя корней квадратного уравнения x² - 15х + 56 = 0, найдите . a) X1 + x2; X1 X2 ; 6) —+1​

Ответы

Ответ дал: MizoriesKun
1

Смотри.......................

Приложения:

dasimov2: спасибо!
dasimov2: а что написана самое первое предложение
MizoriesKun: Первые три строки это теорема Виета
Вас заинтересует