• Предмет: Математика
  • Автор: zerro7600
  • Вопрос задан 2 года назад

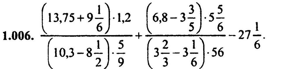
1.006. 75491)-12 6 13,75+9- 5 (103-81) 2 9 (68-32) 52 6 2 3- 3 -31). -56 - 27층. --​

Приложения:

Ответы

Ответ дал: ucilka0604
1

Ответ:

Пошаговое объяснение:

Приложения:
Вас заинтересует