• Предмет: Алгебра
  • Автор: vitos8486
  • Вопрос задан 2 года назад

Допоможіть будь ласка!
Розвяжіть графічну систему
Завдання на фото

Приложения:

Аноним: Второе сейчас решу.
Аноним: Больше 5 файлов кинуть нельзя (
Аноним: Все решил, надеюсь что помог.

Ответы

Ответ дал: Аноним
0

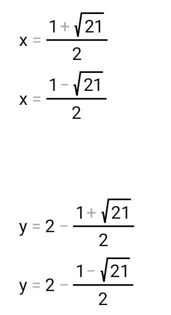
Ответ:

#1 Решение снизу:

#2 решение после 4 файла:

Объяснение:

Приложения:
Вас заинтересует