• Предмет: Математика
  • Автор: iitimur
  • Вопрос задан 2 года назад

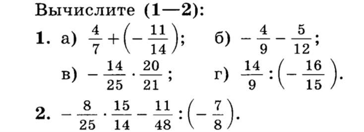
Математике помогите пжпжпжпж пжпжпжпж пжпжпжпж

Приложения:

Ответы

Ответ дал: zloikotik332
2

Ответ:

держи, надеюсь правильно)

Приложения:

iitimur: Спосибо
Вас заинтересует