• Предмет: Физика
  • Автор: romanchukalina6955
  • Вопрос задан 2 года назад

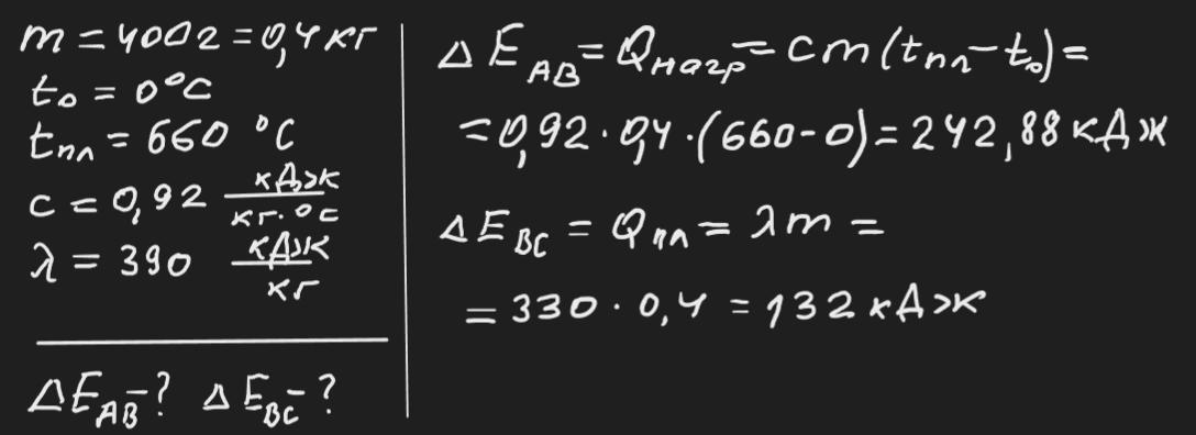
2. На графіку (мал. 2) схематично зображено
зміну температури під час нагрівання
шматка алюмінію масою 400 г. Яким
процесам на графіку відповідають ділянки
AB i BC? Чому дорівнює зміна внутрішньої
енергії алюмінію на цих ділянках?

Приложения:

Ответы

Ответ дал: zybkov1950
1

Відповідь: АВ - нагрівання твердого  шматка алюмінію від 0⁰С до температури плавлення 660 0⁰С

ВС - плавлення твердого  шматка алюмінію

При нагріванні енергія алюмінію збільшилася на 242,88 кДж, при плавленні - на  132 кДж

Пояснення:

Приложения:
Вас заинтересует