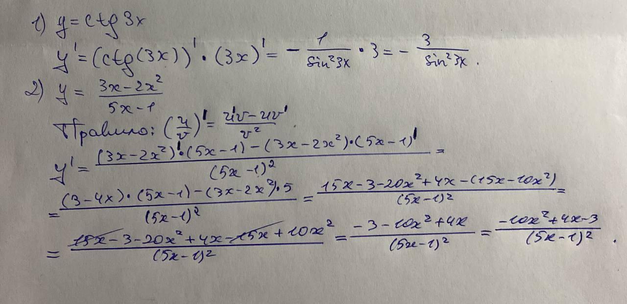
Знайти похідні функції:
1. на картинці
2.ctg3x
Приложения:

peklya:
помогите срочно!!
Ответы
Ответ дал:
2
дивіться фото...................................
Приложения:

Вас заинтересует
1 год назад
1 год назад
1 год назад
1 год назад
3 года назад
3 года назад
8 лет назад