• Предмет: Алгебра
  • Автор: svecilonka
  • Вопрос задан 2 года назад

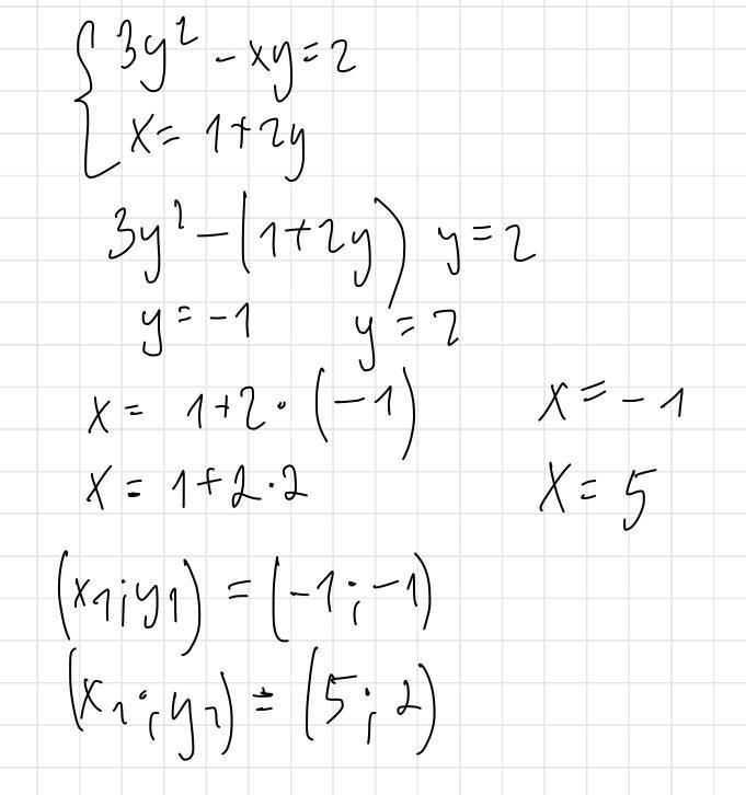
розвяжіть систему рівнянь, через дискримінант
3у²-xy=2
x=1+2y​

Ответы

Ответ дал: Аноним
0
Вот ответ
……..()()()()
Приложения:

svecilonka: дай інстаграм
Вас заинтересует