• Предмет: Алгебра
  • Автор: rokicanmariana
  • Вопрос задан 2 года назад

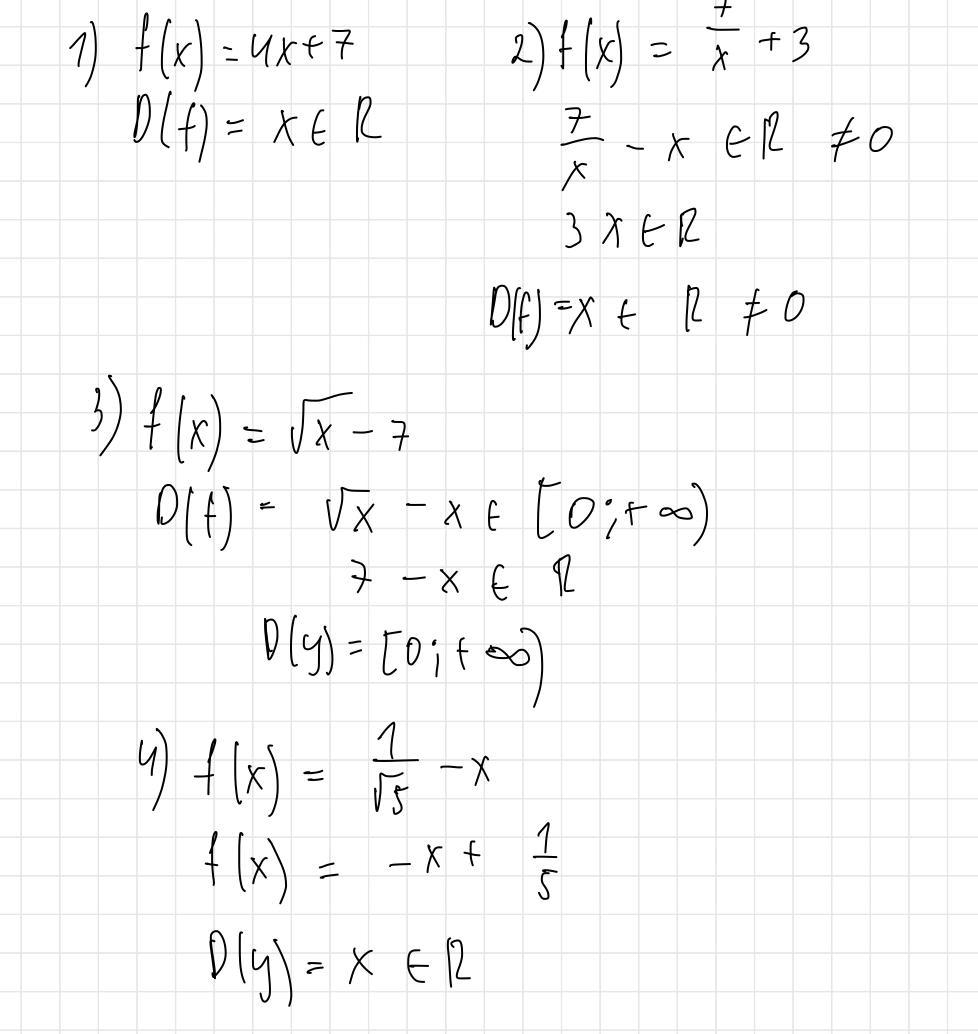
найдите область определения функции
1) f(x)=4x+7
2) f(x)=7/x+3
3) f(x)=√x-7
4) f(x)=1/√5-x


yevheniiavz: 1. в 3 - корень и над семеркой?
2. в 4 - корень и над иксом?
yevheniiavz: 3. в 2 - x+3 в знаменателе, или только икс?

Ответы

Ответ дал: Аноним
2
Вот ответ
………()()()()
Приложения:
Вас заинтересует