• Предмет: Геометрия
  • Автор: artemkorban09
  • Вопрос задан 2 года назад

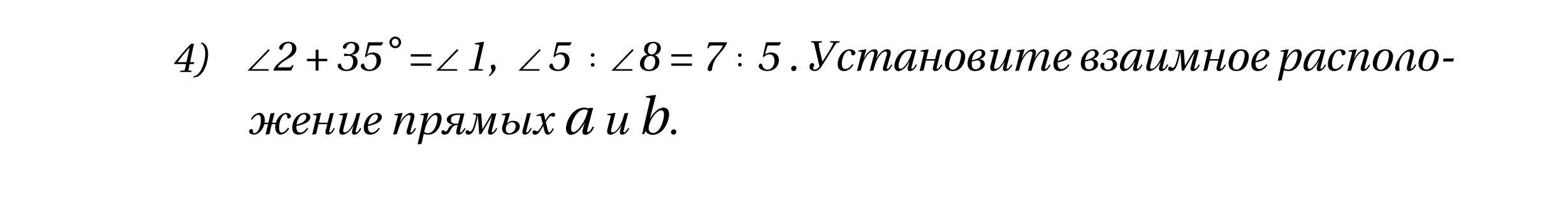
помогите дам 50!!!!!!!!!!!!!!!!!!!!!!!!!!!

Приложения:

Ответы

Ответ дал: bekzat2908
0

Ответ:

0.7142857143=7:5

Объяснение:

проси могу ещё помочь

Вас заинтересует