Ответы
Ответ дал:
2
Відповідь: фото
Покрокове пояснення:
розв'язання завдання додаю
Приложения:

Ответ дал:
0
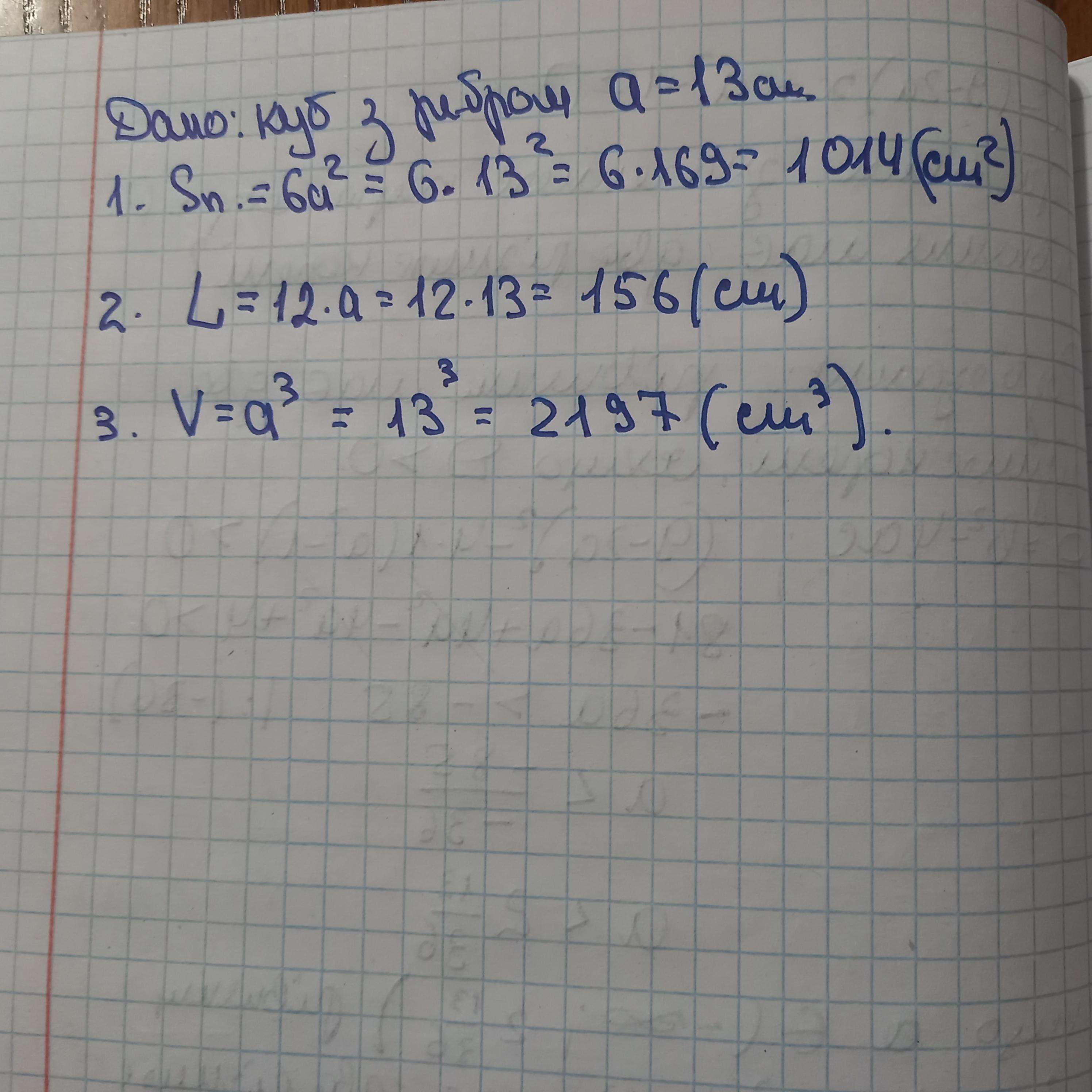
Ответ:
1) 1014 см²
2) 156 см
3) 2197 см³
Решение:
a=13 см - ребро куба
1) S=6a² - площадь поверхности куба
S = 6*13²=6*169=1014 (см²) - площадь поверхности куба
2) Р=12а - сумма длин всех рёбер куба
Р = 12*13=156 (см) - сумма длин всех рёбер куба
3) V=a³ - Объём куба
V=13³=2197 (см³) - Объём куба
Вас заинтересует
1 год назад
1 год назад
1 год назад
3 года назад
3 года назад
8 лет назад