Ответы
Ответ дал:
1
Одночленом является 4 выражение
Ответ дал:
0
Я не не уверен но не верь в меня мноогоо
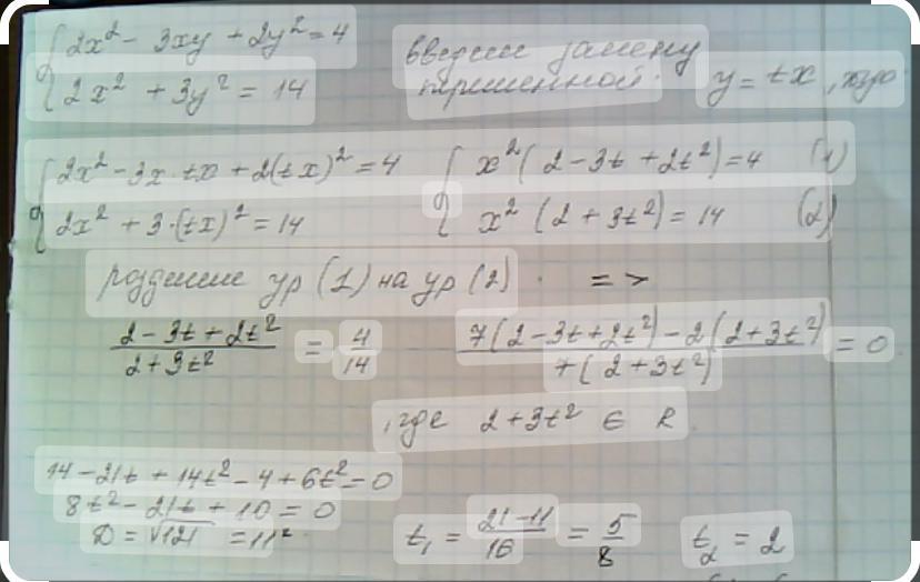
Приложения:

Вас заинтересует
1 год назад
1 год назад
1 год назад
3 года назад