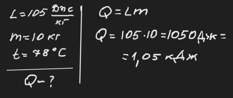
спирту 9 Питома теплота пароутворення 105 Дж/кг. При перетворенні 10 кг парів спирту, що перебувають при температурі кипіння 78 °С, в рідкий стан виділяється кiлькiсть тепла ●
Ответы
Ответ дал:
1
Відповідь: 1,05 кДж
Пояснення:
Приложения:

Lacik:
помогите пожалуйста разобраться в моём профиле по физике срочно надо соч у меня
Вас заинтересует
1 год назад
1 год назад
1 год назад
3 года назад
8 лет назад
8 лет назад