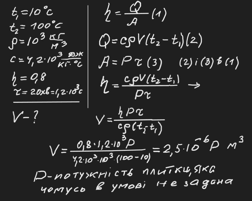
Обчисліть об'єм води, узятої за температури 15 °С, як
електроплита може довести до кипіння за 20 хв. ККД електроплит
80%.
Ответы
Ответ дал:
0
Відповідь: Див. додаток
Пояснення:
Приложения:

Вас заинтересует
1 год назад
1 год назад
1 год назад
1 год назад
3 года назад
3 года назад
8 лет назад