• Предмет: Физика
  • Автор: demkovaaa
  • Вопрос задан 2 года назад

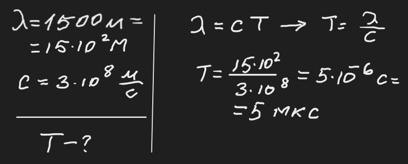
Яким є період коливань в контурі, що випромінює електромагнітні кв довжиною 1500 м?

Ответы

Ответ дал: zybkov1950
0

Відповідь: 5 мкс

Пояснення:

Приложения:
Вас заинтересует