25 баллов даю срочно
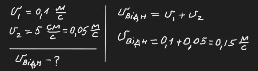
на стрічках паралельних конвеєрів рухаються у протилежних напрямках деталі одна зі швидкістю 0,1м/с друга 5 см/с відносно підлоги з якою швидкістю рухаються деталі одна відносно одної
Ответы
Ответ дал:
0
Відповідь: 0,15 м/с
Пояснення:
Приложения:

Вас заинтересует
1 год назад
1 год назад
1 год назад
3 года назад
8 лет назад